The Hospital “I Do NOT Consent Form” Protects You From Unauthorized and Unnecessary Procedures In the Hospital
The IDNCF™ works because it becomes part of your legal medical record
Etienne Note: One of the many, many cool things from our Flash Drive O Freedom: The Liberator at ArtOfLiberty.org/Liberator
The Anonymous Jd, rn : Creator of the IDNCF™

Video: Dr. Joseph Mercola :20 sec.
“This tool, I’ve never seen anything like this that will empower the hospital patient.”
Dr. Margaret Aranda Ferrante
Anesthesiologist and Critical Care Doctor who Knows The Intensive Care Unit, ER, Operating Rooms, and Hospital Administration and credited for providing medical updates to 2025 version of the document.
Why the I Do Not Consent Form™ Works
The IDNCF™ works because it becomes part of your legal medical record. You also have proof it was received and if violated, is intentional medical battery which is not covered by medical malpractice insurance.
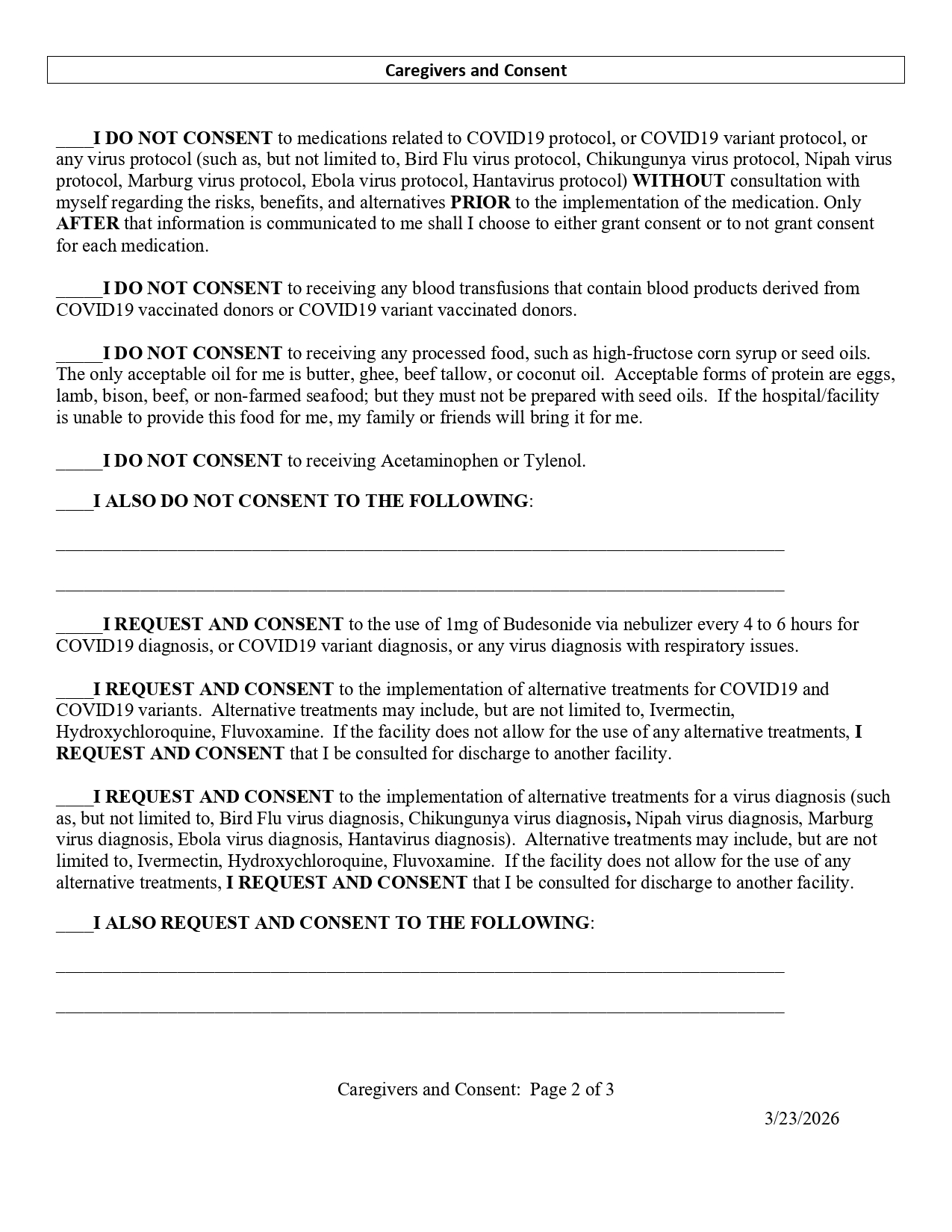
STEP #1: Download Instructions. [Don’t skip This!]
General Instructions for Caregivers and Consent document and Letter
- IMPORTANT: READ EVERY WORD.
- Initial all portions that apply to the left of the item. DO NOT make a check mark (“✔ ”) or an “x”. By using your initials in the blank line to the left of the item, you show your physician that you intentionally selected this particular item.
- Write anything that you are allergic to, or medications or treatments that you also do not want administered to you, in the “I ALSO DO NOT CONSENT TO THE FOLLOWING” blank lines. Do not forget to initial the blank line to the left of the area where you wrote the information.
- Write any treatments, etc., you also want administered to you in the “I ALSO REQUEST AND CONSENT TO THE FOLLOWING” blank lines. Do not forget to initial the blank line to the left of the area where you wrote the information.
- Notarize the document and letter: ONLY SIGN THE CAREGIVERS AND CONSENT DOCUMENT AND THE LETTER BEFORE THE NOTARY.
- Make at least 10 copies.
- Courier Service a copy of the letter and copy of the Caregivers and Consent document to the CEO at the hospital’s/facility’s physical address. ONLY COURIER SERVICE A COPY OF THE LETTER AND A COPY OF THE CAREGIVERS AND CONSENT DOCUMENT ONCE YOU ARE A PATIENT IN THE HOSPITAL/ FACILITY. (NOTE: If delivery occurs after Business hours or on Weekends/Holidays, address the Courier Service envelope to “House Supervisor”)
- Mail to the hospital/facility a copy of the letter and a copy of the Caregivers and Consent document. Use a United States Postal Service Priority Mail Express for the overnight delivery and then add Certified Mail and Return Receipt as extra services. Address Priority Mail Express to the CEO at the hospital’s/facility’s physical address. ONLY MAIL THE COPY OF THE LETTER AND A COPY OF THE CAREGIVERS AND CONSENT DOCUMENT ONCE YOU ARE A PATIENT IN THE HOSPTIAL/FACILITY.
- Should you become hospitalized and unable to personally send the document as outlined in the General Instructions, arrange ahead of time to have a designated family member or friend send copies of the document on your behalf according to these instructions.
- . Give a copy of the Caregivers and Consent document to the Attending Physician.
- . Give a copy of the Caregivers and Consent document to the Nurse.
- . Keep additional copies of the Caregivers and Consent document to distribute, as needed, to other care providers.
- Keep the Certified Mail number and Return Receipt Requested signature in a secure place.
- Keep the Courier Service receipt information in a secure place.
- Keep the original notarized Caregivers and Consent document and the original notarized letter in a secure place.
- Pro Tip: take a photo of each page of your Caregivers and Consent document and save on your phone for easy reference. Finally, feel free to use different wording or modify this for your own Caregivers and Consent document if you so choose. The important takeaway is to clearly communicate in writing your consent, or lack thereof, to healthcare providers.
Step #2: Download Form & Print



The Best “Go Paid” Deal on Substack! You Get REAL Stuff!!

Go paid at the $5 a month level, and we will send you both the PDF and e-Pub versions of Etienne’s new book: To See the Cage Is to Leave It - 25 Techniques the Few Use to Control the Many and a coupon code for 10% off anything in the https://artofliberty.org/store/.
Go paid at the $50 a year level, and we will send you a free paperback edition of Etienne’s new book: To See the Cage Is to Leave It - 25 Techniques the Few Use to Control the Many OR “Government” - The Biggest Scam in History… Exposed! OR a 64GB Liberator flash drive if you live in the US. If you are international, we will give you a $10 credit towards shipping if you agree to pay the remainder.
Support us at the $250 Founding Member Level and get a signed high-resolution hardcover of “Government” - The Biggest Scam in History... Exposed! + Liberator flash drive + a signed high-resolution hardcover of Etienne’s new book: To See the Cage Is to Leave It - 25 Techniques the Few Use to Control the Many + everything else in our “Everything Bundle” of the best in voluntaryist thought delivered domestically. International pays shipping. Our only option for signed copies besides catching Etienne @ an event.
Comments ()